深圳可立克科技股份有限公司 关于回购注销2020年限制性股票 激励计划部分限制性股票的公告



展开全文



(上接B73版)
申报具体方式如下:
1、债权申报登记地点:广东省深圳市宝安区福海街道新田社区正中工业厂区厂房7栋2层
2、申报时间:2023年3月29日至2023年5月12日
3、联系人:陈辉燕
4、联系电话:0755-29918075
5、传真号码:0755-29918075、电子邮箱:invest@clickele.com
特此公告股票理财。
董事会
2023年3月29日
证券代码:002782 证券简称:可立克 公告编号:2023-029
深圳可立克科技股份有限公司
公司及董事会全体成员保证信息披露内容的真实、准确和完整,没有虚假记载、误导性陈述或者重大遗漏股票理财。
深圳可立克科技股份有限公司(以下简称“公司”)于2023年3月28日召开了第四届董事会第二十七次会议,审议通过了《关于回购注销部分限制性股票的议案》,同意公司回购注销部分已离职激励对象获授但尚未解锁的限制性股票合计51,000股,本次回购注销完成后,公司总股本将由490,369,413股减少为490,318,413股,注册资本也相应由490,369,413元减少为490,318,413元股票理财。此事项尚需提交公司2022年度股东大会通过后方可实施。现将相关事项公告如下:
一、2020年限制性股票激励计划概述
2020年10月14日,公司第三届董事会第二十次会议审议通过《关于公司〈2020年度限制性股票激励计划(草案)〉及其摘要的议案》《关于公司〈2020年度限制性股票激励计划实施考核管理办法〉的议案》《关于提请股东大会授权董事会办理股权激励相关事宜的议案》等与本次激励计划相关的议案股票理财。同日,公司独立董事就本计划发表独立意见。
同日,公司第三届监事会第十七次会议审议通过《关于公司〈2020年度限制性股票激励计划(草案)〉及其摘要的议案》《关于公司〈2020年度限制性股票激励计划实施考核管理办法〉的议案》《关于核实公司〈2020年度限制性股票激励计划激励对象名单〉的议案》等与本次激励计划相关的议案,并对本次激励计划所涉事宜发表了意见股票理财。
2020年10月15日至2020年10月24日,公司通过公司网站公示了《2020年限制性股票激励计划激励对象名单》股票理财。
2020年10月26日,公司监事会出具了《监事会关于2020年度股权激励计划激励对象名单的核查意见及公示情况说明》,认为:“列入本次限制性股票激励计划的激励对象均符合相关法律、法规及规范性文件所规定的条件,其作为本次限制性股票激励计划的激励对象合法、有效”股票理财。
2020年10月30日,公司2020年第二次临时股东大会审议通过《关于公司〈2020年度限制性股票激励计划(草案)〉及其摘要的议案》《关于公司〈2020 年度限制性股票激励计划实施考核管理办法〉的议案》以及《关于提请股东大会授权董事会办理股权激励相关事宜的议案》,与上述议案有关的关联股东已回避表决股票理财。独立董事向全体股东公开征集了委托投票权。
2020年11月12日,公司第三届董事会第二十二次会议审议通过《关于调整2020年限制性股票激励计划授予激励对象名单和授予数量的议案》《关于向公司2020年限制性股票激励对象授予限制性股票的议案》股票理财。同日,公司独立董事对本次授予相关事项发表了同意本次调整及本次授予的独立意见。
同日,公司第三届监事会第十九次会议审议通过《关于调整2020年限制性股票激励计划授予激励对象名单和授予数量的议案》《关于向公司2020年限制性股票激励对象授予限制性股票的议案》,并对本次激励计划调整及授予所涉事宜发表了意见股票理财。
2021年3月25日,公司召开了第三届董事会第二十五次会议和第三届监事会第二十一次会议,审议通过了《关于回购注销部分限制性股票的议案》股票理财。公司独立董事发表了同意的独立意见。2021年4月19日,公司召开2020年度股东大会,审议通过了《关于回购注销部分限制性股票的议案》,同意公司回购注销部分已离职激励对象获授但尚未解锁的限制性股票合计40,000股,本次回购注销完成后,公司总股本由476,941,227股减少为476,901,227股,注册资本也相应由476,941,227元减少为476,901,227元。2021年6月3日在中国证券登记结算有限责任公司深圳分公司完成回购注销。
2021年10月26日,公司召开了第四届董事会第六次会议和第四届监事会第五次会议,审议通过了《关于回购注销部分限制性股票的议案》股票理财。公司独立董事发表了同意的独立意见。2021年11月25日,公司召开2021年第三次临时股东大会,审议通过了《关于回购注销部分限制性股票的议案》,同意公司回购注销部分已离职激励对象获授但尚未解锁的限制性股票合计70,000股,本次回购注销完成后,公司总股本由476,901,227股减少为476,831,227股,注册资本也相应由476,901,227元减少为476,831,227元。2021年12月28日在中国证券登记结算有限责任公司深圳分公司完成回购注销。
2022年4月26日,公司召开了第四届董事会第十三次会议和第四届监事会第十二次会议,审议通过了《关于回购注销部分限制性股票的议案》股票理财。公司独立董事发表了同意的独立意见。2022年5月18日,公司召开2021年度股东大会,审议通过了《关于回购注销部分限制性股票的议案》,同意公司回购注销部分已离职激励对象获授但尚未解锁的限制性股票合计108,000股,本次回购注销完成后,公司总股本由476,831,227股减少为476,723,227股,注册资本也相应由476,831,227元减少为476,723,227元。2022年7月15日在中国证券登记结算有限责任公司深圳分公司完成回购注销。
二、关于部分限制性股票回购注销的原因、数量及价格说明
(一)回购注销的原因及数量
根据《激励计划(草案)》“第八章、公司/激励对象发生异动的处理”之“二、激励对象个人情况发生变化的处理”的相关规定,激励对象因辞职、公司裁员而不在公司担任相关职务,在情况发生之日,对激励对象已获授但尚未解除限售的限制性股票不得解除限售,由公司按回购价格回购注销股票理财。
本次激励计划中的激励对象吴进春、黄远生、邹晓斌、刘巍已与公司解除劳动关系,根据《上市公司股权激励管理办法》和《激励计划(草案)》的相关规定,前述离职人员已不符合股票激励对象的条件,其已获授但尚未解锁的51,000股限制性股票应由公司回购注销股票理财。
(二)回购价格及资金来源
根据《激励计划(草案)》“第九章、限制性股票回购注销原则”的相关规定,公司按本次激励计划规定回购注销限制性股票时,回购价- 格为授予价格,但根据本次激励计划需对回购数量及回购价格进行调整的除外股票理财。根据《激励计划(草案)》“第九章、限制性股票回购注销原则”之“二、回购价格的调整方法”的相关规定,若限制性股票在授予后,公司发生资本公积金转增股本、派送股票红利、股票拆细、缩股、派息、配股或增发等影响公司股票价格进行除权、除息处理的情况时,公司按《激励计划(草案)》约定对尚未解除限售的限制性股票的回购价格做相应调整。
2021年5月,公司实施2020年年度权益分派:以截至2020年12月31日的总股本476,941,227股为基数,向全体股东每10股派发现金红利1.5元(含税),共计派发现金71,541,184.05元股票理财。鉴于公司2020年年度权益分派方案已实施完毕,根据《激励计划(草案)》规定,本次限制性股票的回购价格调整为6.61元/股。
根据公司第四届董事会第十三次会议审议通过的《关于2021年度利润分配方案的议案》,公司将以截至2021年12月31日的总股本476,831,227股为基数,向全体股东每10股派发现金红利0.5元(含税),共计派发现金23,841,561.35元股票理财。鉴于公司2021年年度权益分派方案已实施完毕,根据《激励计划(草案)》规定,本次限制性股票的回购价格调整为6.56/股。
根据公司第四届董事会第二十七次会议审议通过的《关于2022年度利润分配方案的议案》,公司将以截至2023年2月28日的总股本490,369,413股为基数,向全体股东每10股派发现金红利0.8元(含税),共计派发现金39,229,553.04元;不送红股,也不以资本公积转增股本股票理财。若公司2021年年度股东大会审议通过该议案且在本次限制性股票回购注销完成前实施完毕,则公司将根据《激励计划(草案)》的规定,相应调整本次限制性股票的回购价格,调整后的回购价格为6.48/股。
公司就本次回购注销事项支付的回购价款资金来源全部为公司自有资金股票理财。
三、本次回购注销后公司股权结构变化情况
待上述回购注销工作完成后股票理财,公司股本结构变动如下:
本次回购注销后完成后,公司股权分布仍具备上市条件股票理财。
四、本次回购注销部分限制性股票对公司的影响
公司本次回购注销已获授但尚未解锁的限制性股票,不会损害公司及全体股东的利益,不会对公司的经营业绩产生重大影响,亦不会影响公司管理层和核心骨干的勤勉尽职股票理财。公司管理团队将继续认真履行工作职责,尽力为全体股东创造价值回报。
五、独立董事、监事会和律师意见
(一)独立董事的独立意见
经核查,由于吴进春、黄远生、邹晓斌、刘巍4名激励对象与公司解除劳动关系,其已不符合《上市公司股权激励管理办法》和公司《激励计划(草案)》所规定的激励条件,根据《上市公司股权激励管理办法》和《激励计划》的相关规定,拟对其持有的已获授但尚未解锁的限制性股票合计51,000股进行回购注销股票理财。公司本次回购注销部分限制性股票,符合《公司法》《上市公司股权激励管理办法》及公司《激励计划(草案)》等的相关规定,不存在对公司的财务状况和经营成果产生实质性影响,也不存在损害公司及股东利益的情形。同意公司按照相关程序实施本次回购注销。
(二)监事会的意见
监事会经审核认为:鉴于吴进春、黄远生、邹晓斌、刘巍4名激励对象与公司解除劳动关系已不符合激励条件,公司本次回购注销部分限制性股票已履行相应的决策程序,符合《上市公司股权激励管理办法》及公司《激励计划(草案)》等相关规定,不会对公司的财务状况和经营成果产生实质性影响,也不存在损害公司及股东利益的情形股票理财。同意公司回购注销前述4名激励对象已获授但尚未解锁的限制性股票共计51,000股。
(三)律师的法律意见
北京市金杜(深圳)律师事务所认为:截至本法律意见书出具日,公司就本次回购注销已取得了现阶段所需必要的批准和授权;本次回购注销的原因及内容符合《管理办法》《公司章程》和《激励计划(草案)》的相关规定;本次回购注销尚需提交公司股东大会审议批准;公司尚需就本次回购注销及时履行信息披露义务,并按照《公司法》等法律法规的相关规定办理注册资本变更及股份注销登记等相关手续股票理财。
六、备查文件
1、公司第四届董事会第二十七次会议决议;
2、公司第四届监事会第二十六次会议决议;
3、独立董事关于第四届董事会第二十七次会议相关事项的独立意见;
4、北京市金杜(深圳)律师事务所出具的《关于深圳可立克科技股份有限公司回购注销部分已授予限制性股票事宜的法律意见书》股票理财。
深圳可立克科技股份有限公司董事会
2023年3月29日
证券代码:002782 证券简称:可立克 公告编号:2023-028
深圳可立克科技股份有限公司
关于开展金融衍生产品交易业务的
公告
公司及董事会全体成员保证信息披露内容的真实、准确和完整,没有虚假记载、误导性陈述或者重大遗漏股票理财。
深圳可立克科技股份有限公司(以下简称“公司”或“本公司”)于2023年3月28日召开第四届董事会第二十七次会议股票理财,审议通过了《关于开展金融衍生产品交易业务的议案》,现将相关情况公告如下:
一、开展金融衍生产品交易业务的目的
公司及子公司(指全资子公司、控股子公司,下同)在日常经营过程中涉及大量的外币业务,美元是主要结算币种,为有效规避和应对汇率波动等对公司及子公司带来的风险,减少对经营的影响,增强财务稳健性,公司及子公司通过金融衍生产品交易进行汇率及利率风险管理股票理财。
二、开展的金融衍生产品交易业务品种
开展金融衍生产品交易业务品种包括但不限于利率掉期、基差掉期、利率期权、远期利率协议、外汇远期(含人民币与外币远期)、外汇掉期(含人民币与外币掉期)、外汇期权(含人民币与外汇期权)、利率上限、利率下限、货币掉期、债券期权、信用违约掉期、结构性存款等交易以及由前述品种结合而产生的交易股票理财。
公司及子公司开展的以上业务属于金融产品套期保值业务,不属于风险投资股票理财。
三、开展的金融衍生产品交易业务计划
根据公司《金融衍生产品交易管理制度》,结合相关法律、法规和文件的规定和经营需要,公司及子公司以套期保值为目的开展金额不超过1亿美元金融衍生产品交易,并授权公司管理层决定及签署相关交易文件股票理财。本次开展的金融衍生产品交易资金来源为公司及子公司自有资金,授权期限自本议案获得2022年度股东大会审议通过之日起12个月。
四、开展金融衍生产品交易的必要性
公司产品大部分进行出口,美元是主要结算币种股票理财。开展金融衍生产品交易有利于帮助公司及子公司有效应对汇率波动等带来的风险,减少对经营的影响,提高抵御汇率、利率波动的能力。
五、开展金融衍生产品交易的可行性
公司及子公司已经具备开展金融衍生产品交易业务的必要条件股票理财,具体情况如下:
1、将对金融衍生产品交易进行严格的风险评审和风险跟踪股票理财。
2、公司已经制定了《金融衍生产品交易管理制度》,对交易审批流程做出明确规定股票理财。公司及子公司设立专门工作小组具体负责金融衍生产品交易事宜,并在董事会或股东大会授权范围内予以执行。
3、公司及子公司目前的自有资金规模能够支持公司从事上述业务所需的资金股票理财。
六、金融衍生产品会计核算原则
公司根据《企业会计准则第22号-金融工具确认和计量》《企业会计准则第24号-套期保值》《企业会计准则第37号-金融工具列报》相关规定及其指南,对开展的金融衍生产品交易业务进行相应的核算处理,反映资产负债表及损益表相关项目股票理财。
七、金融衍生产品风险分析
1、汇率和利率波动风险:在金融衍生产品交易的存续期内,每一会计期间将产生重估损益,金融衍生产品投资合约汇率和利率与到期日实际汇率和利率的差异将产生投资损益股票理财。
2、信用风险:开展金融衍生产品交易业务存在一方合约到期无法履约造成违约而带来的风险股票理财。
3、操作风险:公司在开展衍生产品交易业务时,如发生操作人员未按规定程序报备及审批,或未准确、及时、完整地记录金融衍生产品业务信息,将可能导致衍生产品交易业务损失或丧失交易机会股票理财。
4、流动性风险:因市场流动性不足而无法完成交易的风险股票理财。
八、风险管理措施
1、公司对金融衍生产品交易业务进行严格的风险评审和风险跟踪,交易额度不得超过经董事会或股东大会批准的授权额度上限股票理财。
2、公司已经制定了《金融衍生产品交易管理制度》,对交易审批流程做出明确规定股票理财。公司及子公司设立专门工作小组具体负责金融衍生产品交易事宜,并在董事会或股东大会授权范围内予以执行。
3、公司与交易机构签订条款准确清晰的合约,严格执行风险管理制度,以防范法律风险股票理财。
4、公司专项工作小组负责金融衍生产品交易业务方案制订、资金 筹集、业务操作及日常联系与管理,并在出现重大风险或可能出现重大风险时,及时向公司管理层提交分析报告和解决方案并报公司证券部股票理财。
5、公司内审部负责对金融衍生产品交易业务进行监控、审计,负责审查金融衍生产品交易的审批情况、实际操作情况、产品交割情况及盈亏情况等,并对账务处理情况进行核实,形成相应报告提交董事会审计委员会股票理财。
6、公司法务部负责公司金融衍生产品合同审核股票理财。
九、开展金融衍生产品交易对公司及子公司的影响
公司及子公司以套期保值为目的开展金融衍生产品交易,不进行投机套利,可有效规避及应对汇率波动等带来的风险,提高公司及子公司抵御汇率、利率波动的能力,减少对经营的影响,并使公司及子公司保持稳定的财务费用水平股票理财。因此,此次开展的金融衍生产品交易业务不会影响公司及子公司日常经营资金需求及主营业务的正常开展,有利于提高资金使用效率,为公司及股东谋取更多的投资回报,对公司的经营成果不会产生重大不利影响。
十、相关批准程序及审核意见
1、公司第四届董事会第二十七次会议以7票赞成,0票反对,0票弃权通过了《关于开展金融衍生产品交易业务的议案》股票理财。
为有效规避和应对汇率波动等对公司及子公司带来的风险,减少对公司及子公司经营的影响,依据公司《金融衍生产品交易管理制度》及其他相关法律法规的要求,公司董事会同意公司及子公司在保证不影响正常经营的前提下开展金额不超过1亿美元的金融衍生产品交易业务,并授权公司经营管理层决定及签署相关交易文件,授权期限自本议案获得2022年度股东大会审议通过之日起12个月股票理财。
2、公司第四届监事会第二十六次会议以3票赞成,0票反对,0票弃权通过了《关于开展金融衍生产品交易业务的议案》股票理财。
公司及子公司开展金融衍生产品交易业务是以套期保值为目的,不进行投机套利,公司监事会同意公司及子公司在不影响正常经营的前提下开展金额不超过1亿美元的金融衍生产品交易业务,期限自本议案获得2022年度股东大会审议通过之日起12个月股票理财。
3、公司独立董事对《关于开展金融衍生产品交易业务的议案》内容进行了认真审核,同意该事项股票理财。
经审查,我们认为:公司已建立了《金融衍生产品交易管理制度》,能够有效规范金融衍生产品投资行为,控制风险股票理财。公司及子公司在日常经营过程中涉及大量的外币业务,通过使用自有资金开展金融衍生产品交易业务有利于规避汇率波动的风险,提高抵御汇率波动的能力,符合公司利益,不存在损害公司及全体股东利益的情形。因此,我们同意公司及子公司在累计不超过1亿美元的额度内,使用自有资金开展金融衍生产品交易业务,并将此事项提交公司股东大会审议。
十一、备查文件
1、第四届董事会第二十七次会议决议股票理财。
2、第四届监事会第二十六次会议决议股票理财。
3、独立董事关于公司第四届董事会第二十七次会议相关事项的独立意见股票理财。
特此公告股票理财。
深圳可立克科技股份有限公司董事会
2023年3月29日
证券代码:002782 证券简称:可立克 公告编号:2023-034
深圳可立克科技股份有限公司
关于续聘公司2023年度
外部审计机构的公告
公司及董事会全体成员保证信息披露内容的真实、准确和完整,没有虚假记载、误导性陈述或者重大遗漏股票理财。
深圳可立克科技股份有限公司(以下简称“公司”或“本公司”)2023年3月28日召开的第四届董事会第二十七次会议审议通过了《关于续聘立信会计师事务所(特殊普通合伙)为公司2023年度外部审计机构的议案》股票理财,现将相关事项公告如下:
一、拟聘任会计师事务所的基本情况
(一)机构信息
1、基本信息
立信会计师事务所(特殊普通合伙)(以下简称“立信”)由我国会计泰斗潘序伦博士于1927年在上海创建,1986年复办,2010年成为全国首家完成改制的特殊普通合伙制会计师事务所,注册地址为上海市,首席合伙人为朱建弟先生股票理财。立信是国际会计网络BDO的成员所,长期从事证券服务业务,新证券法实施前具有证券、期货业务许可证,具有H股审计资格,并已向美国公众公司会计监督委员会(PCAOB)注册登记。
截至2022年末,立信拥有合伙人267名、注册会计师2,392名、从业人员总数10,620名,签署过证券服务业务审计报告的注册会计师674名股票理财。
立信2022年业务收入(未经审计)45.23亿元,其中审计业务收入34.29亿元,证券业务收入15.65亿元股票理财。
2022年度立信为646家上市公司提供年报审计服务,审计收费 7.19亿元,同行业上市公司审计客户73家股票理财。
2、投资者保护能力
截至2022年末,立信已提取职业风险基金1.61亿元,购买的职业保险累计赔偿限额为12.50亿元,相关职业保险能够覆盖因审计失败导致的民事赔偿责任股票理财。
近三年在执业行为相关民事诉讼中承担民事责任的情况:
3、诚信记录
立信近三年因执业行为受到刑事处罚无、行政处罚2次、监督管理措施30次、自律监管措施无和纪律处分2次,涉及从业人员82名股票理财。
(二)项目信息
1、基本信息
(1)项目合伙人近三年从业情况:
姓名:李建军
(2)签字注册会计师近三年从业情况:
姓名: 朱风娣
(3)质量控制复核人近三年从业情况:
姓名:程进
2、项目组成员独立性和诚信记录情况股票理财。
项目合伙人、签字注册会计师和质量控制复核人不存在违反《中国注册会计师职业道德守则》对独立性要求的情形股票理财。
(上述人员过去三年没有不良记录股票理财。)
二、审计收费
1、审计费用定价原则
主要基于专业服务所承担的责任和需投入专业技术的程度,综合考虑参与工作员工的经验和级别相应的收费率以及投入的工作时间等因素定价股票理财。
2、审计费用同比变化情况
三、拟续聘会计师事务所履行的程序
1、公司于2023年3月28日召开的第四届董事会审计委员会第七次会议审议通过了《关于续聘立信会计师事务所(特殊普通合伙)为公司2023年度外部审计机构的议案》股票理财。审计委员会认为立信会计师事务所(特殊普通合伙)具有从事证券业务资格及从事上市公司审计工作的丰富经验和职业素养,立信会计师事务所(特殊普通合伙)为本公司出具的审计意见是客观的,真实地反映了公司的财务状况和经营成果,表现出了良好的业务水平,其对公司经营状况和治理结构也较为熟悉,同意继续聘任立信会计师事务所(特殊普通合伙)为公司 2023年度的外部审计机构,并提请公司董事会和股东大会审议。
2、公司独立董事对本事项发表了事前认可意见及独立意见,详见公司同日披露的《独立董事关于第四届董事会第二十七次会议相关事项的事前认可意见》、《独立董事关于第四届董事会第二十七次会议相关事项的独立意见》股票理财。
3、公司于2023年3月28日召开的第四届董事会第二十七次会议审议通过了《关于续聘立信会计师事务所(特殊普通合伙)为公司2023年度外部审计机构的议案》,议案得到所有董事一致表决通过,本事项尚须提交公司2022年年度股东大会审议股票理财。
4、公司于2023年3月28日召开的第四届监事会第二十六次会议审议通过了《关于续聘立信会计师事务所(特殊普通合伙)为公司2023年度外部审计机构的议案》,议案得到所有监事一致表决通过股票理财。
四、备查文件
1、公司第四届董事会第二十七次会议决议;
2、独立董事关于第四届董事会第二十七次会议相关事项的事前认可意见;
3、独立董事关于第四届董事会第二十七次会议相关事项的独立意见;
4、公司第四届监事会第二十六次会议决议;
5、立信会计师事务所(特殊普通合伙)营业执业证照,主要负责人和监管业务联系人信息和联系方式,拟负责具体审计业务的签字注册会计师身份证件、执业证照和联系方式股票理财。
特此公告股票理财。
深圳可立克科技股份有限公司董事会
2023年3月29日
证券代码:002782 证券简称:可立克 公告编号:2023-025
深圳可立克科技股份有限公司
关于预计公司2023年度
日常关联交易额度的公告
公司及董事会全体成员保证信息披露内容的真实、准确和完整,没有虚假记载、误导性陈述或者重大遗漏股票理财。
一、日常关联交易基本情况
1、关联交易概述
深圳可立克科技股份有限公司(以下简称“公司”)于2023年3月28日召开第四届董事会第二十七次会议,以4票同意,0票反对,0票弃权的结果审议通过了《关于预计公司2023年度日常关联交易额度的议案》,关联董事肖铿、顾洁、肖瑾回避表决股票理财。2023年公司因日常经营的需要,需向深圳市盛弘电气股份有限公司(以下简称“盛弘股份”)销售变压器产品,前述交易行为构成关联交易。
2022年度公司与盛弘股份关联交易实际发生金额为5,862.77万元,预计2023年度公司及控股子公司与盛弘股份关联交易金额合计不超过15,000万元人民币股票理财。
2023年度预计关联交易总金额超过公司最近一期经审计净资产的5%,该事项需经过股东大会审议,关联股东赣州盛妍投资有限公司、可立克科技有限公司回避表决股票理财。
2、预计日常关联交易类别及金额
3、上一年度日常关联交易实际发生情况
二、关联人介绍和关联关系
1、盛弘股份基本情况
公司名称:深圳市盛弘电气股份有限公司
成立日期:2007年9月28日
住所:深圳市南山区西丽街道松白路1002号百旺信高科技工业园2区6栋
法定代表人:方兴
注册资本:205,275,493人民币
经营范围:
一般经营项目:电能质量产品(包括电力有源滤波器;静止无功发生器;电能质量优化器;动态电压调节器;低电压治理设备;电能质量监控设备;电气节能产品)、智能微网产品(包括离网、并网光伏逆变器;离网、并网储能逆变器;应急电源;储能单元)、电动汽车充电产品(包括电动汽车充电机电源模块;分体式充电柜;户外一体化桩;各种定制整流电源)、回馈式充放电电源产品(包括铅酸电池充放电逆变电源;电芯化成分容设备;锂电池组检测设备;动力电池组测试系统;回馈电子负载系统)的技术开发与销售;自动化装备和相关软件的研发、设计、系统集成、销售与技术服务(以上不含限制项目);充电站系统、整流电源模块及系统、操作电源模块及系统的设计;太阳能发电系统的设计;微网风能光伏柴油发电机电池储能系统设计;经营进出口业务;房屋租赁;高压、高频、大容量电力电子器件技术,智能型电力电子模块技术,大功率变频技术与大功率变频调速装置技术及相关产品的开发、销售及技术服务股票理财。(法律、行政法规、国务院决定禁止的项目除外,限制的项目须取得许可后方可经营)。
许可经营项目:电能质量产品(包括电力有源滤波器;静止无功发生器;电能质量优化器;动态电压调节器;低电压治理设备;电能质量监控设备;电气节能产品)、智能微网产品(包括离网、并网光伏逆变器;离网、并网储能逆变器;应急电源;储能单元)、电动汽车充电产品(包括电动汽车充电机电源模块;分体式充电柜;户外一体化桩;各种定制整流电源)、回馈式充放电电源产品(包括铅酸电池充放电逆变电源;电芯化成分容设备;锂电池组检测设备;动力电池组测试系统;回馈电子负载系统)的生产;太阳能发电系统的施工;可再生能源分布式发电站建设、运营与维护;离网、并网光伏光热电站的开发、建设、运营与维护;微网风能光伏柴油发电机电池储能系统、充电站系统、整流电源模块及系统、操作电源模块及系统的建设;新能源汽车充电站点建设及运营;自动化装备和相关软件的生产;高压、高频、大容量电力电子器件技术,智能型电力电子模块技术,大功率变频技术与大功率变频调速装置技术及相关产品的生产股票理财。
截至2022年12月31日,盛弘股份的总资产为226,072.02万元,净资产为106,242.57万元;2022年营业收入为150,310.17万元,净利润为22,354.55万元(前述财务数据已经审计)股票理财。
2、盛弘股份与公司及控股子公司的关联关系
盛弘股份的控股股东方兴,与本公司的实际控制人的一致行动人之一肖瑾为夫妻关系,符合《深圳证券交易所股票上市规则》规定的关联交易的规定,盛弘股份与公司控股子公司发生的交易也属于关联交易股票理财。
3、履约能力分析
上述关联交易系正常的生产经营所需,关联方盛弘股份是依法存续且正常经营的上市公司,财务状况良好,付款及时,具备较好的履约能力,双方交易合同均有效执行股票理财。
三、关联交易主要内容及定价政策
2023年因日常经营需要,预计公司及控股子公司向盛弘股份销售变压器的关联交易金额不超过15,000万元,公司及控股子公司将与关联方根据实际需求进行业务往来,以市场公允价格确定结算价格,交易行为是在符合市场经济的原则下公开合理地进行股票理财。
四、关联交易目的及对公司的影响
上述预计的关联交易是基于公司及控股子公司日常生产经营的需要,是在公平、互利的基础上进行的,属于正常的商业交易行为,交易价格均依据市场公允价格公平、合理确定,不存在损害公司和股东利益的行为,不会对公司本期以及未来的财务状况、经营成果产生重大影响,也不会影响公司的独立性,交易的决策严格按照公司的相关制度进行,上述日常关联交易不会对公司造成不利影响股票理财。
五、独立董事意见
独立董事对于该议案的事前认可意见:
公司已将与关联方深圳市盛弘电气股份有限公司的关联交易事项事先提供了相关资料,并与我们进行了沟通股票理财。作为独立董事,我们亦对资料进行了认真的审阅,对预计公司2023年度日常关联交易额度事项表示事前认可,并同意将该事项提交公司第四届董事会第二十七次会议审议。董事会在对该议案进行表决时,关联董事肖铿、顾洁、肖瑾应按规定予以回避。
独立董事对于该议案的独立意见:
在审阅有关文件资料后,我们对公司关于预计公司2023年度日常关联交易额度议案发表独立意见: 公司根据2023年度日常经营活动的需要对当年日常关联交易进行了预估,所预计的关联交易均是因公司及控股子公司与关联方产生的正常经营往来而发生,有利于公司拓展业务、增加收入股票理财。该等关联交易定价公允,没有违反公开、公平、公正的原则,且不影响公司运营的独立性,不存在损害公司和中小股东利益的行为,符合公司整体利益。董事会对本次关联交易表决时,关联董事回避表决,程序合法,符合有关法律、法规、《公司章程》的规定,同意公司实施上述事项。
六、监事会意见
公司2023年度预计发生的日常关联交易是在公平合理、双方协商一致的基础上进行的,交易价格的确定符合公开、公平、公正的原则,交易方式符合市场规则,交易价格公允,没有损害公司及公司非关联股东、特别是中小股东的利益股票理财。监事会对公司上述关联交易无异议。
七、备查文件
1、公司第四届董事会第二十七次会议决议;
2、公司第四届监事会第二十六次会议决议;
3、公司独立董事事前认可和独立意见股票理财。
特此公告股票理财。
深圳可立克科技股份有限公司董事会
2023年3月29日
证券代码:002782 证券简称:可立克 公告编号:2023-031
深圳可立克科技股份有限公司
监事会关于回购注销2020年限制性股票激励计划部分限制性股票的核查意见
公司及监事会全体成员保证信息披露内容的真实、准确和完整,没有虚假记载、误导性陈述或者重大遗漏股票理财。
深圳可立克科技股份有限公司(以下简称“公司”)监事会根据《中华人民共和国公司法》《中华人民共和国证券法》《上市公司股权激励管理办法》(以下简称“《管理办法》”)等有关法律、法规及规范性文件以及《深圳可立克科技股份有限公司2020年限制性股票激励计划(草案)》(以下简称“《激励计划(草案)》”)和《深圳可立克科技股份有限公司公司章程》的有关规定股票理财,对公司回购注销部分已获授但尚未解除限售的限制性股票相关事项进行了核查,现发表核查意见如下:
经核查:鉴于吴进春、黄远生、邹晓斌、刘巍4名激励对象与公司解除劳动关系已不符合激励条件,公司本次回购注销部分限制性股票已履行相应的决策程序,符合《上市公司股权激励管理办法》及公司《激励计划(草案)》等相关规定,不会对公司的财务状况和经营成果产生实质性影响,也不存在损害公司及股东利益的情形股票理财。同意公司回购注销前述4名激励对象已获授但尚未解锁的限制性股票共计51,000股。
特此公告股票理财。
深圳可立克科技股份有限公司监事会
2023年3月29日
证券代码:002782 证券简称:可立克 公告编号:2023-024
深圳可立克科技股份有限公司
关于公司2022年度募集资金存放
与使用情况的专项报告
公司及董事会全体成员保证信息披露内容的真实、准确和完整,没有虚假记载、误导性陈述或者重大遗漏股票理财。
根据中国证券监督管理委员会《上市公司监管指引第2号一一上市公司募集资金管理和使用的监管要求(2022年修订)》(证监会公告〔2022〕15号)、《深圳证券交易所上市公司自律监管指引第1号一一主板上市公司规范运作》以及《深圳证券交易所上市公司自律监管指南第2号一一公告格式(2023年修订)》的相关规定股票理财,本公司就2022年度募集资金存放与使用情况作如下专项报告:
一、募集资金基本情况
(一) 募集资金到位情况
根据本公司2020年1月13日召开的第三届董事会第十二次会议决议、2020年2月20日召开的第三届董事会第十三次会议决议、2020年3月9日召开的2020年第一次临时股东大会决议,以及中国证券监督管理委员会于2020年6月19日签发的《关于核准深圳可立克科技股份有限公司非公开发行股票的批复》(证监许可〔2020〕1202号),公司获准非公开发行不超过85,200,000股新股股票理财。本公司已非公开发行人民币普通股42,734,227股,发行价格为每股人民币11.45元,募集资金总额为人民币489,306,899.15元,扣除发行费用人民币9,242,183.04元后,实际募集资金净额为人民币480,064,716.11元。上述发行募集资金已经立信会计师事务所(特殊普通合伙)进行了审验并出具了信会师报字[2020]第ZI10559号《验资报告》。公司已与募集资金开户银行、保荐机构签署《募集资金三方监管协议》,开立了募集资金专项账户。募集资金到位时,初始存放金额为481,326,899.15元,其中包含用于非公开发行股票中介机构费用1,262,183.04元。
(二) 2022年度募集资金使用及结余情况
注:本公司于2021年11月29日召开的第四届董事会第十次会议及2021年12月10日召开的2021年第四次临时股东大会审议通过了《关于部分募投项目投资金额调整、部分募投项目终止并将节余募集资金永久补充流动资金的议案》,2022年度本公司永久性补充流动资金1,812,769.43元系前述节余募集资金永久补充流动资金议案中的一部分股票理财。
二、募集资金存放和管理情况
(一)募集资金的管理情况
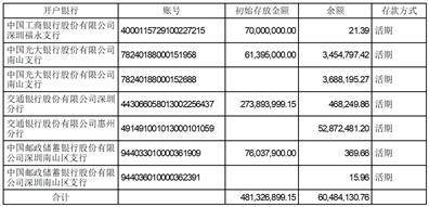
为了规范本公司募集资金管理,提高募集资金使用效率,切实保护广大投资者的利益,公司依据《中华人民共和国公司法》、《中华人民共和国证券法》、《深圳证券交易所股票上市规则》、《上市公司监管指引第2号一一上市公司募集资金管理和使用的监管要求(2022年修订)》(证监会公告〔2022〕15号)、《深圳证券交易所上市公司自律监管指引第1号一一主板上市公司规范运作》以及《深圳证券交易所上市公司自律监管指南第2号一一公告格式(2023年修订)》等法律法规以及《公司章程》,结合公司实际情况,制定《深圳可立克科技股份有限公司募集资金管理制度》(以下简称“《管理制度》”)股票理财。根据《管理制度》的要求,并结合公司经营需要,本公司对募集资金实行专户存储,并对募集资金的使用实行严格的审批手续,以保证专款专用,并连同保荐机构招商证券股份有限公司分别与中国工商银行股份有限公司深圳福永支行、中国光大银行股份有限公司南山支行、交通银行股份有限公司深圳分行、交通银行股份有限公司惠州分行、中国邮政储蓄银行股份有限公司深圳南山区支行签订了《募集资金三方监管协议》,授权保荐代表人可以随时到开设募集资金专户的银行查询募集资金专户资料。
根据签订的《募集资金三方监管协议》规定:(1)招商证券作为公司的保荐机构,应当依据有关规定指定保荐代表人或者其他工作人员对公司募集资金使用情况进行监督股票理财。保荐机构应当依据《深圳证券交易所上市公司自律监管指引第1号一一主板上市公司规范运作》以及公司制订的募集资金管理制度对公司募集资金事项履行保荐职责,进行持续督导工作。(2)公司授权保荐机构指定的保荐代表人可以随时到专户存储银行查询、复印公司专户的资料;专户存储银行应当及时、准确、完整地向其提供所需的有关专户的资料。(3)专户存储银行按月(每月10日前)向公司出具对账单,并抄送保荐机构。专户存储银行应保证对账单内容真实、准确、完整。(4)公司单次或12个月内累计从专户中支取的金额超过1,000万元且达到发行募集资金总额扣除发行费用后的净额的5%的,专户存储银行应在付款后5个工作日内以传真方式通知保荐机构,同时提供专户的支出清单。(5)专户存储银行连续三次未及时向保荐机构出具对账单或向保荐机构通知专户大额支取情况,以及存在未配合保荐机构调查专户情形的,公司及征得公司同意后保荐机构有权单方面解除协议并注销募集资金专户。
(二)募集资金专户存储情况
截至2022年12月31日止股票理财,募集资金的存储情况列示如下:
金额单位:人民币元
三、本年度募集资金的实际使用情况
(一)募集资金投资项目的资金使用情况
本公司2022年度募集资金实际使用情况详见本报告附表1《募集资金使用情况对照表》股票理财。
(二)募集资金投资项目的实施主体、实施地点、实施方式变更情况
本公司2022年度不存在募集资金投资项目的实施主体、实施地点、实施方式变更情况股票理财。
(三)募集资金投资项目先期投入及置换情况
本公司截至2020年10月31日累计使用自筹资金预先投入募集资金投资项目1,438.00万元,已经立信会计师事务所(特殊普通合伙)专项鉴证并出具信会师报字[2020]第ZI10655号专项鉴证报告股票理财。本公司于2020年 11 月 12 日召开的第三届董事会第二十二次会议审议通过了《关于用募集资金置换预先已投入募投项目自筹资金的议案》,同意公司使用募集资金 1,438.00万元置换预先投入募投项目的自筹资金。募集资金置换工作已于 2020年 11 月13日完成。
(四)用闲置募集资金暂时补充流动资金情况
本公司2022年度不存在使用闲置募集资金暂时补充流动资金情况股票理财。
(五)用暂时闲置募集资金进行现金管理情况
为提高闲置募集资金使用效率,合理利用闲置募集资金,获取较好的投资回报,本公司于2020年9月18日召开的第三届董事会第十九次会议审议通过《关于公司及子公司使用部分闲置募集资金购买理财产品的议案》,董事会同意公司及子公司在确保募投项目的正常实施和正常经营的前提下,同意公司及子公司使用不超过人民币3亿元的暂时闲置募集资金择机购买安全性高、流动性好、低风险的保本型理财产品,使用期限不超过12个月股票理财。购买理财产品的额度在董事会审议通过之日起12个月有效期内可以滚动使用。
为提高公司募集资金使用效率,增加公司收益,本公司于2021年9月17日召开的第四届董事会第五次会议审议通过了《关于公司及子公司使用部分闲置募集资金购买理财产品的议案》,在确保募投项目的正常实施和资金安全的前提下,董事会同意公司及子公司使用不超过人民币3亿元的暂时闲置募集资金择机购买安全性高、流动性好、低风险的保本型理财产品,使用期限不超过12个月股票理财。在上述额度内,资金可以在决议有效期内滚动使用,购买的理财产品不得用于质押。
为提高公司募集资金使用效率,增加公司收益,本公司于2022年9月13日召开的第四届董事会第十九次会议审议通过《关于公司及子公司使用部分闲置募集资金购买理财产品的议案》,在确保募投项目的正常实施和资金安全的前提下,董事会同意公司及子公司使用不超过人民币1.5亿元的暂时闲置募集资金择机购买安全性高、流动性好、低风险的保本型理财产品,使用期限不超过12个月股票理财。在上述额度内,资金可以在决议有效期内滚动使用,购买的理财产品不得用于质押。
截至2022年12月31日止股票理财,本公司使用暂时闲置募集资金购买理财产品明细情况如下:
(六)节余募集资金使用情况
本公司2022年度不存在将募集资金投资项目节余资金用于其他募集资金投资项目或非募集资金投资项目的情况股票理财。
(七)超募资金使用情况
本公司2022年度不存在超募资金使用情况股票理财。
(八)尚未使用的募集资金用途及去向
截至2022年12月31日,本公司尚有60,484,130.76元尚未使用的募集资金仍存放于募集资金专用账户,另有50,000,000.00元在中国光大银行股份有限公司深圳分行账户用于购买理财产品股票理财。本公司将按照经营需要,合理安排募集资金的使用进度。
(九)募集资金使用的其股票理财他情况
本公司2022年度不存在募集资金使用的其他情况股票理财。
四、变更募集资金投资项目的资金使用情况
(一)变更募集资金投资项目情况
本公司2022年度不存在变更募集资金投资项目情况股票理财。
(二)未达到计划进度及变更后的项目可行性发生重大变化的情况
本公司2022年度不存在未达到计划进度及变更后的项目可行性发生重大变化的情况股票理财。
(三)变更后的募集资金投资项目无法单独核算效益的原因及其情况
本公司2022年度不存在变更后的募集资金投资项目无法单独核算效益的原因及其情况股票理财。
(四)募集资金投资项目已对外转让或置换情况
本公司2022年度不存在募集资金投资项目对外转让或置换情况股票理财。
五、募集资金使用及披露中存在的问题
本公司已披露的募集资金使用的相关信息及时、真实、准确、完整,募集资金存放、使用、管理及披露不存在违规情形股票理财。
六、专项报告的批准报出
本专项报告于2023年3月28日经董事会批准报出股票理财。
附表:1、募集资金使用情况对照表
深圳可立克科技股份有限公司董事会
2023年3月29日
附表1:
募集资金使用情况对照表
编制单位:深圳可立克科技股份有限公司 2022年度
单位: 人民币万元
本版导读
深圳可立克科技股份有限公司 关于回购注销2020年限制性股票 激励计划部分限制性股票的公告 2023-03-29









评论